o-Toluidine series

o-Nitrotoluene (cas 88-72-2), m-Nitrotoluene (cas 99-08-1), and p-Nitrotoluene (cas 99-99-0) are the simplest aromatic compounds. o-Toluidine (cas 95-53-4), m-Toluidine (cas 108-44-1), and p-Toluidine (cas 106-49-0) are the simplest aromatic amine compounds, they are widely used in medicine, pesticides, dyes, petroleum additives and other industries.

Our advantages in o-Toluidine series.

Wencheng Chemical has made the "nitration reaction" and "hydrogenation reaction" devices into a 40,000-ton continuous production device, allowing us to start production directly from the raw material toluene. We have also improved the old production process, including formulating mixed acids to improve the reaction environment; using new catalysts to improve product quality and yield. This gives our products the following three advantages over products made by traditional processes:


    ● 1. It has higher purity. According to national testing standards, the purity can reach about 99.8%.
    ● 2. It has better antioxidant properties and effectively delays oxidative discoloration.
    ● 3. Larger continuous production equipment can provide competitive prices, more stable supply capacity and quality.

 

Through chlorination reaction, we can also produce: 4-chloro-2-methylaniline (cas 95-69-2), 6-chloro-2-nitrotoluene (cas 83-42-1). Through further hydrogenation reaction, we can produce: 3-chloro-2-methylaniline (cas 87-60-5), 5-chloro-2-methylaniline (cas 95-79-4), 4-chloro-2-methylaniline (cas 95-69-2), 6-chloro-2-nitrotoluene (cas 83-42-1). Through fluorination reaction, we can produce: o-fluorotoluene (cas95-52-3), m-fluorotoluene (cas 352-70-5), p-fluorotoluene (cas 352-32-9).


If you have other needs for aniline derivatives, pesticide intermediates, or dye intermediates, we can provide customized services.

Our products

Here you will find a brief introduction to the core products of our o-Toluidine series
99.5% o-Nitrotoluene
99.5% o-Nitrotoluene
o-Nitrotoluene

o-Nitrotoluene cas88-72-2, also called 2-nitrotoluene, is a light yellow oily liquid with a melting point of -9°C. It will turn into yellow crystals below -9°C and have a nitrobenzene-like odor. It will turn into yellow-brown when exposed to air and light. It has three isomers: o-, m-, and p-.

Wencheng Chemical's o-nitrotoluene synthesis process is toluene nitration reaction in mixed acid to produce o-nitrotoluene. The reaction equation for producing o-nitrotoluene is:

 

o-Nitrotoluene is mainly used in the production of pesticide intermediates, dye intermediates and pharmaceutical intermediates.

Storage conditions: cool and ventilated, avoid light, keep away from fire and heat sources

Purity ≥99.5%
Moisture ≤ 0.2%
Capacity: 2000 tons/month
Delivery speed: Same day
Minimum packaging: 200 kg/iron drum or tank

99.5% m-Nitrotoluene
99.5% m-Nitrotoluene
3-Nitrotoluene

3-Nitrotoluene cas99-08-1 is also called 1-methyl-3-nitrobenzene; 3-Nitrotoluene is a light yellow oily liquid with a melting point of 15°C. It will turn into yellow crystals below 15°C and have a nitrobenzene-like odor. It will turn yellow-brown when exposed to air and light. It has three isomers: o-, m-, and p-.

Wencheng Chemical's m-nitrotoluene synthesis process is toluene nitration reaction in mixed acid to produce m-nitrotoluene. The reaction equation for producing m-nitrotoluene is:

 

3-Nitrotoluene is mainly used in the production of pesticide intermediates, dye intermediates and pharmaceutical intermediates.

Storage conditions: cool and ventilated, avoid light, keep away from fire and heat sources

Purity: ≥99.5%

Moisture: ≤ 0.2%

Capacity: 500 tons/month

Delivery: speed: Same day

Minimum packaging: 200 kg/iron drum or tank

99.5% p-Nitrotoluene
99.5% p-Nitrotoluene
4-Nitrotoluene

4-Nitrotoluene cas99-99-0 is also called 1-methyl-4-nitrobenzene; 4-nitrotoluene, p-nitrotoluene, is a light yellow crystal with a melting point of 54°C and an odor of bitter almonds. It turns yellow-brown when exposed to air and light. It has three isomers: o-, m-, and p-.

Wencheng Chemical's p-nitrotoluene synthesis process is toluene nitration reaction in mixed acid to produce p-nitrotoluene. The reaction equation for producing p-nitrotoluene is:

 

4-Nitrotoluene is mainly used in the production of pesticide intermediates, dye intermediates and pharmaceutical intermediates.

Storage conditions: cool and ventilated, avoid light, keep away from fire and heat sources

Purity: ≥99.5%
Moisture: ≤ 0.2%
Capacity: 1200 tons/month
Delivery speed: Same day
Minimum packaging: 200 kg/iron drum or tank

99.5% O-Toluidine
99.5% O-Toluidine
o-Toluidine

o-Toluidine cas95-53-4, also known as o-aminotoluene and 2-methylaniline, is a colorless to light yellow liquid that turns reddish brown when exposed to air and light. It is a type of aromatic amine compound with three isomers: o-, m-, and p-.

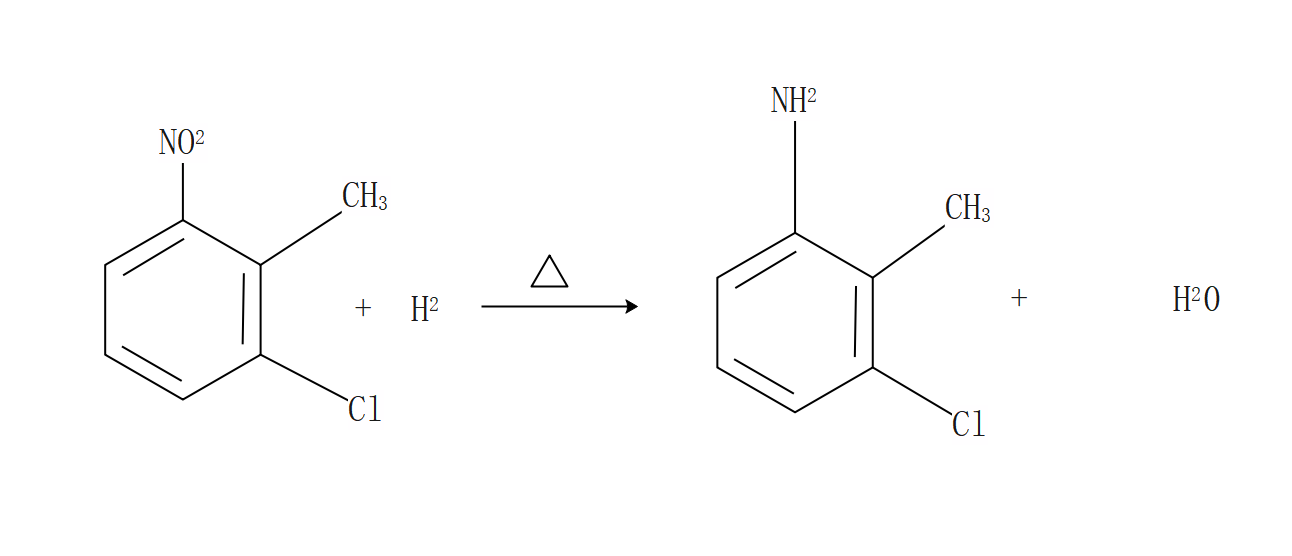
Wencheng Chemical's o-toluidine synthesis process is produced by the hydrogenation reaction of o-nitrotoluene cas88-72-2. The reaction equation for producing o-toluidine is:

o-Toluidine is mainly used in the production of pesticide intermediates, dye intermediates and pharmaceutical intermediates.

Storage conditions: cool and ventilated, avoid light, keep away from fire and heat sources

Purity: ≥99.5%
Moisture: ≤ 0.2%
Capacity: 2000 tons/month
Delivery speed: Same day
Minimum packaging: 200 kg/iron drum or tank

99.5% m-Toluidine
99.5% m-Toluidine
m-Toluidine

m-Toluidine cas 108-44-1, also known as 3-toluidine and 3-aminotoluene, is a colorless to yellow transparent oily liquid that turns reddish brown when exposed to air and light. It is a type of aromatic amine compound with three isomers:  o-, m-, and p-.

Wencheng Chemical's m-toluidine synthesis process is to produce it by hydrogenation of m-nitrotoluene cas99-08-1. The reaction equation for producing m-toluidine is:

 

m-Toluidine is mainly used in the production of pesticide intermediates, dye intermediates and pharmaceutical intermediates.

Storage conditions: cool and ventilated, avoid light, keep away from fire and heat sources

Purity ≥99.5%
Moisture ≤ 0.2%
Capacity: 500 tons/month
Delivery speed: Same day
Minimum packaging: 200 kg/iron drum or tank

99.5% p-Toluidine
99.5% p-Toluidine
4-Methylaniline

p-Toluidine cas106-49-0, also known as 4-aminotoluene, 4-methylaniline, p-aminotoluene, is a colorless to yellow crystal at room temperature with a melting point of 46°C. It turns brown when exposed to air and light. It is a type of aromatic amine compound with three isomers:  o-, m-, and p-.

Wencheng Chemical's p-toluidine synthesis process is produced by hydrogenation of p-nitrotoluene cas99-99-0. The reaction equation for producing p-toluidine is:

 

p-Toluidine is mainly used in the production of pesticide intermediates, dye intermediates and pharmaceutical intermediates.

Storage conditions: cool and ventilated, avoid light, keep away from fire and heat sources

Purity ≥99.5%
Moisture ≤ 0.2%
Capacity: 1200 tons/month
Delivery speed: Same day
Minimum packaging: 200 kg/iron drum or tank

99.5% 2-Chloro-6-nitrotoluene
99.5% 2-Chloro-6-nitrotoluene

2-Chloro-6-nitrotoluene CAS No. 83-42-1, EINECS No. 201-475-9, also known as 6-nitro-2-chlorotoluene; 6-chloro-2-nitrotoluene is white to orange and then green at room temperature, with a melting point of 34 °C. It becomes liquid above 34 °C.

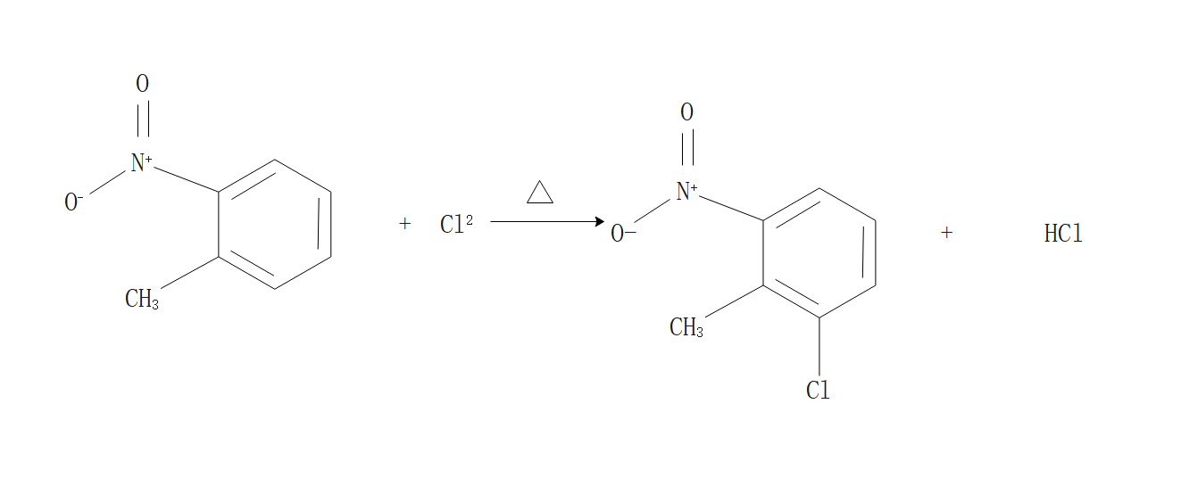
Wencheng Chemical's 2-chloro-6-nitrotoluene synthesis process is produced by chlorination of o-nitrotoluene cas88-72-2. The reaction equation for producing 2-chloro-6-nitrotoluene is:

2-Chloro-6-nitrotoluene is mainly used in the production of pesticide intermediates, dye intermediates and pharmaceutical intermediates.

Storage conditions: cool and ventilated, avoid light, keep away from fire and heat sources

Purity ≥99.5%
Moisture ≤ 0.2%
Capacity: 300 tons/month
Delivery speed: Same day
Minimum packaging: 250 kg/iron drum or tank

99.5% 3-Chloro-2-methylaniline
99.5% 3-Chloro-2-methylaniline

3-Chloro-2-methylaniline cas87-60-5, EINECS No. 201-756-6, also known as 3-chloro-2-methylaniline; 3-chloro-o-toluidine; 2-amino-6-chlorotoluene, 2-chloro-6-aminotoluene, is a transparent yellow to red or reddish brown liquid with a melting point of 2 °C. It turns brown when exposed to air and light.

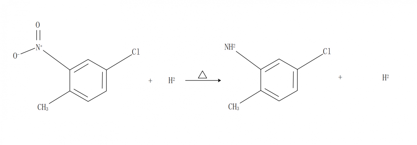
The synthesis process of 3-chloro-2-methylaniline of Wencheng Chemical is to produce it by chlorination and hydrogenation of o-nitrotoluene cas88-72-2. The reaction equation for producing 3-chloro-2-methylaniline is:

3-Chloro-2-methylaniline is mainly used in the production of pesticide intermediates, dye intermediates and pharmaceutical intermediates.

Storage conditions: cool and ventilated, avoid light, keep away from fire and heat sources

Purity ≥99.5%
Moisture ≤ 0.2%
Capacity: 300 tons/month
Delivery speed: Same day
Minimum packaging: 250 kg/iron drum or tank

99.5% 5-Chloro-2-methylaniline
99.5% 5-Chloro-2-methylaniline

5-Chloro-2-methylaniline cas95-79-4, EINECS No. 202-452-6, also known as 5-chloro-o-toluidine; 2-methyl-5-chloroaniline, 4-chloro-2-aminotoluene; 2-amino-4-chlorotoluene, is a transparent yellow to light brown liquid at room temperature with a melting point of 23 °C. It will become a solid below the melting point of 23 °C and turn brown when exposed to air and light.

Wencheng Chemical's 5-chloro-2-methylaniline synthesis process is produced by chlorination and hydrogenation of o-nitrotoluene cas88-72-2. The reaction equation for producing 5-chloro-2-methylaniline is:

5-Chloro-2-methylaniline  is mainly used in the production of pesticide intermediates, dye intermediates and pharmaceutical intermediates.

Storage conditions: cool and ventilated, avoid light, keep away from fire and heat sources

Purity ≥99.5%
Moisture ≤ 0.2%
Capacity: 100 tons/month
Delivery speed: Same day
Minimum packaging: 250 kg/iron drum or tank

FAQ

You may also want to know this

1.Why does o-toluidine change color? What is the reason?

 

All aniline products have the characteristic of changing color because they all have amine groups. The double bonds in amine groups are unstable and easily oxidized. They start out yellow, gradually turn red, and finally turn brown. More impurities, increased temperature, exposure to air and light can accelerate the reaction.

 

2. How to prevent o-toluidine from changing color and how to store o-toluidine?

 

There is no way to absolutely prevent o-toluidine from changing color, but there are ways to slow down the process. Based on our years of experience, the advice given is to cover the o-toluidine tightly, store it away from light in a ventilated and cool warehouse, and protect it with nitrogen. Most importantly, the purity should be increased as much as possible to reduce the impurities in o-toluidine.

 

3. What is the purity of Wencheng Chemical's o-toluidine? What is the color of Wencheng Chemical's o-toluidine?

 

The national standard content is ≥99%. The purity of Wencheng Chemical's o-toluidine can reach about 99.7%. High-purity products have better antioxidant properties than other products. We have done a test and took 500 ml of Wencheng Chemical's o-toluidine and stored it in an aluminum can. Without considering light and temperature, the package was opened after 1 month, 2 months, and 3 months. The colors were light color (color number 25), light color (color number 35), and slightly yellow (50). If nitrogen protection measures are taken, the antioxidant properties will be even better.

 

4. Why is it difficult to increase the purity of meta-toluidine? Where can I find high-purity meta-toluidine?

 

The current mature process for producing meta-toluidine is through the nitration reaction of toluene. Meta-toluidine cannot be synthesized alone. The nitration reaction will produce a mixture of o-toluidine, m-toluidine, and p-toluidine, of which o-toluidine has a boiling point of 200°C and m-toluidine has a boiling point of 203°C. Since the boiling points of the two are too close, the traditional distillation process cannot achieve complete separation, which also results in low purity of ordinary products.After Wencheng Chemical deeply improved its production process, the purity of meta-toluidine reached over 99.7%. It has excellent antioxidant and anti-discoloration properties, and has been recognized by domestic and foreign markets.

 

5.How to determine the quality of 3-chloro-2-methylaniline? What is its main use?

 

Purity is an important basis for judging the quality of 3-chloro-2-methylaniline. The higher the purity, the better the quality.Wencheng Chemical's 3-chloro-2-methylaniline cas87-60-5, EINECS No. 201-756-6, has a purity of 99.5%. The raw material of 3-chloro-2-methylaniline is o-nitrotoluene CAS No. 88-72-2, which is also one of Wencheng Chemical's core products and will be competitive in price.The main use of 3-chloro-2-methylaniline is to produce the intermediate of the herbicide dichloroquinoline CAS No. 84087-01-4, and it can also be 2,6-dichlorotoluene and tampronone CAS No. 335104-84-2.

 

6. What should we be careful about when exporting hazardous chemicals?

 

Most aniline products are hazardous chemicals, so hazardous goods customs declaration and commercial inspection are required when exported. All products of Wencheng Chemical can obtain legal declaration of hazardous goods and commercial inspection.

Follow Us
Get Updates

Contact Us